孙庆丰课题组在铁磁金属中提出量子反常霍尔态
2025-11-05
近日,北京大学物理学院量子材料科学中心孙庆丰教授课题组在拓扑量子态领域取得重要进展。研究团队发现,在铁磁金属中,即使体系内部仍保持金属导电特性,也可以出现量子反常霍尔效应。更令人惊讶的是,研究表明,真实材料中普遍存在的退相干不仅不会破坏这种量子化现象,反而能稳定它。相关成果于2025年10月31日以 “铁磁金属中的量子反常霍尔效应”(Quantized Anomalous Hall Effect in Ferromagnetic Metals Stabilized by Dephasing) 为题发表在《物理评论快报》(Physical Review Letters)上,并得到编辑推荐(Editors' Suggestion)。
量子反常霍尔效应是一种典型的拓扑量子态,其特征是在外磁场为零的情况下,霍尔电导出现量子化。过去的研究都集中在铁磁绝缘体中,但这类材料极为稀少,而能够真正实现量子反常霍尔效应的体系更是凤毛麟角。相比之下,铁磁金属材料广泛存在、制备工艺成熟且具有更高的居里温度。孙庆丰课题组的工作将量子反常霍尔效应的实现平台从铁磁绝缘体推广到铁磁金属,不仅大大拓宽了潜在材料范围,也为未来实现高温量子反常霍尔效应提供了新的启发。
通过理论分析与数值模拟表明,当电子的相干长度小于器件的尺度时,体系的体态仍表现为金属导电,而其霍尔电导却保持量子化,呈现出稳定的量子反常霍尔相。换言之,现实体系中不可避免的电子-电子、电子-声子散射等退相干过程反而成为稳定量子反常霍尔效应的关键因素。这意味着,典型的微米级金属器件在常规实验条件下即可满足霍尔电导量子化出现的要求。这一发现打破了量子反常霍尔效应只能存在于绝缘体的传统认识,揭示了退相干在量子输运中的积极作用,为在广泛存在的铁磁金属中实现高温、稳定的拓扑量子效应提供了新思路。

图1:铁磁金属中量子化霍尔边态与普通金属体态的共存示意图。即使体系体态仍保持金属性,但适度退相干(橙色波纹)促进量子化霍尔电导的形成。

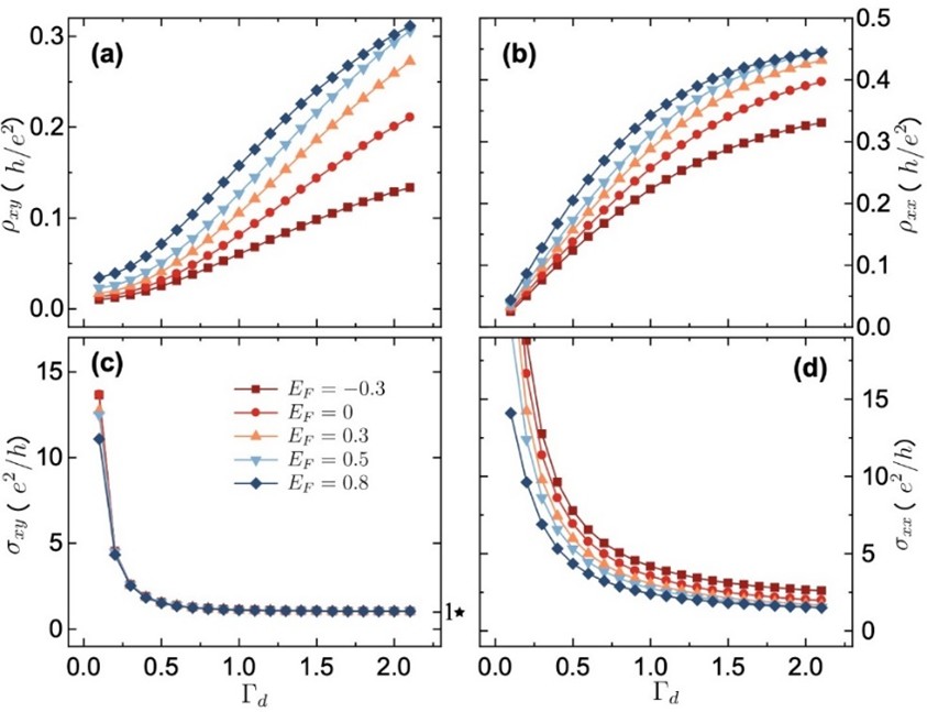
图2:(a-d)分别显示霍尔电阻、纵向电阻、霍尔电导、和纵向电导。不同颜色曲线对应不同费米能级。尽管霍尔电阻不是量子化、纵向电阻不是零,但是霍尔电导保持量子化。
北京大学物理学院量子材料科学中心博士生万雨豪是该论文第一作者,孙庆丰是通讯作者。该工作的参与者还有量子材料科学中心博士生刘芃仪。上述研究工作得到国家重点研发计划、国家自然科学基金、科技创新2030—量子通信与量子计算机重大项目的支持。
论文原文链接: Quantum Anomalous Hall Effect in Ferromagnetic Metals | Phys. Rev. Lett.